Custo de capital e sua importância para os investidores
Quem não é empresário costuma não conhecer todos os termos que englobam este mundo empresarial, como o custo de capital, por exemplo.
No entanto, o custo de capital muito interessa aos investidores, por ser fundamental para alavancar os investimentos de uma companhia.
Em um negócio bem planejado, o empreendedor sabe o quanto precisa ter de lucro para que a empresa se pague. E esta taxa de retorno, essencial para manter o valor de mercado do empreendimento, é chamada de custo de capital.
Pense da seguinte forma: se uma empresa demandou um investimento inicial de R$ 1 milhão e lucra apenas R$ 10 mil por mês, mesmo após um considerável período de maturação, este negócio é um bom lugar para investir?
Em casos assim, é possível que o seu Retorno Sobre Investimento (ROI) fique aquém daquele que você gostaria de receber.
Desafios como este podem ser interessantes para investidores-anjo, que já possuem bastante bagagem em gestão de desejam aplicar não apenas o seu dinheiro, mas também o seu conhecimento ali.
Em resumo, se o projeto der um retorno maior que o custo de capital, ele aumentará o valor da empresa, enquanto o projeto que obtiver retorno inferior ao custo de capital, fará o valor da empresa cair.
Importância do custo de capital
O custo de capital não é importante apenas para novos empreendimentos,
Quando uma empresa já consolidada no mercado decide ampliar suas atividades ou investir em um novo projeto precisa capitar dinheiro para isto.
Nestes casos, há algumas formas mais comuns de conseguir este dinheiro:
- Usando as reservas de lucros do negócio;
- Pegando um empréstimo;
- Contratos de leasing; ou
- Angariando novos investidores, que pode ser feita com a oferta de novas ações ou com novas injeções de capital.
Claro que uma empresa não precisa escolher um modo de obter recursos em detrimentos dos outros, podendo angariar o montante necessário utilizando tanto capital próprio quanto de terceiros.
O que o empreendedor precisa ter em mente é aquela velha máxima de “não dar um passo maior do que a perna”.
Isso porque todo investimento também demanda um custo, seja com o pagamento de novos dividendos, para os que optarem por distribuir ações, ou com a possibilidade de pagamento de juros, para empréstimos.
Isso sem falar na possibilidade de perda de reservas financeiras para quem utilizar os lucros que foram guardados.
Custo ponderado de capital

Por isso, a empresa precisa ter certeza de que aquele aporte é vantajoso para o seu negócio, tanto quanto o investidor precisa saber se obterá as vantagens que deseja com tal transação.
Nesta hora, é preciso calcular o Custo Médio Ponderado de Capital, também conhecido como Weighted Average Cost of Capital (WACC).
O custo médio ponderado de capital é uma ferramenta utilizada para descobrir o custo de capital nestas transações e o quanto a empresa é atrativa, de acordo com o retorno mínimo que o empreendimento deve obter.
Se o resultado não for satisfatório, há o risco de os possíveis financiadores decidirem investir em outro projeto, então este ponto é importante tanto para o empreendedor quanto para o possível patrocinador.
Para chegarmos ao Custo Médio Ponderado de Capital precisamos conhecer o custo do capital de terceiros, a alíquota do imposto a ser pago, o impacto que esta a dívida de terceiros terá na estrutura de capital da empresa, bem como o custo do capital próprio e o peso da dívida própria na estrutura de capital.
O custo de capital próprio pode ser definido como o retorno desejado pelos acionistas de uma empresa em suas decisões de aplicação de capital próprio. Ou seja, o custo de capital próprio é o retorno mínimo que os sócios vão exigir de seu patrimônio investido na companhia.
O capital de terceiros, por sua vez, representa o retorno exigido pelos credores. Ou seja, é caracterizado pelo custo de todas as fontes de crédito líquido de imposto de renda para a companhia.
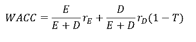
Assim, para quem se interessa por cálculos, a fórmula para o cálculo do Custo Médio Ponderado do Capital é:

Onde:
E = Valor do capital próprio;
D = Valor do capital alheio;
rE = Taxa de custo do capital próprio;
rD = Taxa de custo do capital alheio;
T = É a taxa de imposto.
Agora, você já pode pedir ao empresário o custo de capital do investimento que pretende fazer no negócio ou discutir esse valor enquanto acionista de um empreendimento em busca de financiamentos.
